Ez a jegyzet az angol nyelvtan legfontosabb alapjait mutatja be... Továbbiak megjelenítése
Regisztrálj, hogy lásd a tartalmatTeljesen ingyenes!
Hozzáférés minden dokumentumhoz
Javítsd a jegyeidet
Csatlakozz diákok millióihoz
Knowunity AI
Tantárgyak
Triangle Congruence and Similarity Theorems
Triangle Properties and Classification
Linear Equations and Graphs
Geometric Angle Relationships
Trigonometric Functions and Identities
Equation Solving Techniques
Circle Geometry Fundamentals
Division Operations and Methods
Basic Differentiation Rules
Exponent and Logarithm Properties
Összes témakör megjelenítése
Human Organ Systems
Reproductive Cell Cycles
Biological Sciences Subdisciplines
Cellular Energy Metabolism
Autotrophic Energy Processes
Inheritance Patterns and Principles
Biomolecular Structure and Organization
Cell Cycle and Division Mechanics
Cellular Organization and Development
Biological Structural Organization
Összes témakör megjelenítése
Chemical Sciences and Applications
Atomic Structure and Composition
Molecular Electron Structure Representation
Atomic Electron Behavior
Matter Properties and Water
Mole Concept and Calculations
Gas Laws and Behavior
Periodic Table Organization
Chemical Thermodynamics Fundamentals
Chemical Bond Types and Properties
Összes témakör megjelenítése
European Renaissance and Enlightenment
European Cultural Movements 800-1920
American Revolution Era 1763-1797
American Civil War 1861-1865
Global Imperial Systems
Mongol and Chinese Dynasties
U.S. Presidents and World Leaders
Historical Sources and Documentation
World Wars Era and Impact
World Religious Systems
Összes témakör megjelenítése
Classic and Contemporary Novels
Literary Character Analysis
Rhetorical Theory and Practice
Classic Literary Narratives
Reading Analysis and Interpretation
Narrative Structure and Techniques
English Language Components
Influential English-Language Authors
Basic Sentence Structure
Narrative Voice and Perspective
Összes témakör megjelenítése
450
•
Frissítve Apr 5, 2026
•
lorelai
@lorelai_6czzb
Ez a jegyzet az angol nyelvtan legfontosabb alapjait mutatja be... Továbbiak megjelenítése










A névmások használata az angol nyelv alapja. Az alanyi névmások mondatok elején állnak, míg a tárgyi névmások ige után helyezkednek el. A birtokos melléknevek főnevek előtt mutatják, hogy kié valami.
A "to be" ige minden mondattípusban fontos. Állító mondatban egyszerűen használod (I am, he is), tagadásban "not"-ot teszel hozzá, kérdésben pedig előre hozod az igét. A rövid válaszoknál csak az igét ismétled meg.
A "have got" birtoklást fejez ki. Ugyanúgy működik, mint a "to be" - kérdésben előre hozod, tagadásban "not"-ot teszel hozzá. Rövidíteni is lehet: I've got vagy I haven't got.
Fontos tudni: Az angol névmások következetes használata teszi természetessé a beszédet - gyakorold őket mondatokban!

A melléknevek fokozása egyszerű szabályokat követ. Rövid mellékneveknél -er és -est végződést használsz (old → older → oldest). Hosszú mellékneveknél "more" és "most" szavakat teszed elé (dangerous → more dangerous → most dangerous).
A Present Simple szokásokat és általános igazságokat fejez ki. Egyes szám harmadik személyben "-s" végződést teszel az igéhez. A Present Continuous éppen történő eseményeket mutat - "be" ige + "-ing" végződés szükséges hozzá.
A Present Perfect olyan múltbeli eseményekre utal, amelyek hatása a jelenben érezhető. "Have/has + 3. alak" szerkezetet használod. A Present Perfect Continuous pedig azt hangsúlyozza, hogy egy cselekvés mennyi ideig tart - "have/has been + -ing" formát igényel.
Tipp: A Present Perfect-nél mindig gondolj arra, hogy a múltbeli esemény hogyan kapcsolódik a jelenhez!

A Past Simple befejezett múltbeli eseményeket fejez ki. Szabályos igéknél "-ed" végződést használsz, rendhagyóknál pedig a 2. alakot kell tudnod. Minden személyben ugyanaz az alak, kérdésben és tagadásban "did" segédigét használod.
A Past Continuous folyamatban lévő múltbeli eseményeket mutat. "Was/were + -ing" szerkezetet alkalmazzuk. Gyakran használjuk, amikor egy folyamat megszakad - a megszakítást Past Simple-lel fejezzük ki.
A Past Perfect Simple olyan múltbeli eseményt jelöl, ami egy másik múltbeli esemény előtt történt. "Had + 3. alak" szerkezet szükséges. A Past Perfect Continuous pedig a folyamat hosszát hangsúlyozza a múltban - "had been + -ing" formával.
Emlékezz: A múlt idők sorrendje fontos - mindig tisztázd, hogy mi történt előbb!

A Future Simple spontán döntéseket és jóslásokat fejez ki. "Will + főige" szerkezetet használsz minden személyben. A Future Continuous jövőbeli folyamatokat mutat , míg a Future Perfect jövőben befejezett eseményeket .
A "going to" szerkezet tervezett jövőbeli eseményeket és bizonyítékon alapuló jóslatokat fejez ki. "Be going to + főige" formát használod.
A feltételes mondatok három típusa különböző valószínűségeket fejez ki. A Type 1 valószínű jövőbeli eseményekre vonatkozik . A Type 2 képzeletbeli jelenbeli helyzeteket mutat . A Type 3 múltbeli lehetetlen helyzeteket fejez ki .
Gyakorlati tanács: A feltételes mondatokban mindig figyeld a vessző használatát, ha az "if" résszel kezded!

A módbeli segédigék különböző jelentéseket fejeznek ki. A "can/may" lehetőséget mutat, a "must" erős kötelezettséget vagy biztos következtetést, a "should" tanácsot ad. Tagadásban ügyelj a jelentésváltozásra: "mustn't" tiltást, "don't have to" pedig a kötelezettség hiányát jelenti.
Az infinitívusz két formája különböző igék után áll. A teljes infinitívusz célok kifejezésére és bizonyos igék után használatos (want, decide, hope). A puszta infinitívusz (főige "to" nélkül) módbeli segédigék és néhány ige után áll (let, make).
Az -ing alak előnyt-nemtetszést kifejező igék után (like, enjoy, hate), prepozíciók után és bizonyos kifejezésekben (look forward to, can't help) használatos.
Fontos különbség: "Stop doing" = abbahagyni valamit, "stop to do" = megállni, hogy csinálj valamit!

A szenvedő szerkezet (Passive Voice) akkor használatos, amikor a cselekvés fontosabb, mint az azt végző személy. Az aktív mondat tárgyából lesz a passzív mondat alanya. A szerkezet: "be" ige + 3. alak minden igeidőben.
A "should/ought to" tanácsadásra és vélemény kifejezésére szolgál. A "had better" erős tanácsot ad azonnali vagy közeljövőbeli cselekvésre. A "would rather" preferenciát fejez ki, gyakran "than" követi.
Ezek a nyelvtani szerkezetek alapvető fontosságúak a kisérettségin. A rendszeres gyakorlás és a szabályok tudatos alkalmazása vezet a sikerhez.
Végső tipp: Ne próbálj egyszerre mindent megtanulni - egy-egy témát alaposan dolgozz fel, majd térj át a következőre!



MI Társunk egy diákközpontú MI eszköz, amely többet nyújt puszta válaszoknál. Millió Knowunity erőforrásra épülve releváns információkat, személyre szabott tanulási terveket, kvízeket és tartalmat biztosít közvetlenül a chatben, alkalmazkodva az egyéni tanulási utadhoz.
Az appot letöltheted a Google Play Store-ból és az Apple App Store-ból.
Pontosan! Élvezd az ingyenes hozzáférést a tanulási tartalmakhoz, kapcsolódj diáktársaiddal, és kapj azonnali segítséget – mind a kezed ügyében.
App Store
Google Play
Az alkalmazás nagyon könnyen használható és jól megtervezett. Mindent megtaláltam, amit eddig kerestem, és sokat tudtam tanulni a prezentációkból! Biztosan használni fogom az alkalmazást egy osztályfeladathoz! És persze inspirációként is nagyszerűen segít.
Stefan S
iOS felhasználó
Ez az alkalmazás tényleg nagyszerű. Olyan sok tanulási jegyzet és segítség van benne [...]. Például a francia a problémás tantárgyam, és az alkalmazásban olyan sok segítség lehetőség van. Ennek az alkalmazásnak köszönhetően javult a franciám. Mindenkinek ajánlanám.
Samantha Klich
Android felhasználó
Hű, tényleg lenyűgözött. Csak úgy kipróbáltam az alkalmazást, mert sokszor láttam reklámozva, és teljesen megdöbbentett. Ez az alkalmazás AZ A SEGÍTSÉG, amire az iskolában szükséged van, és mindenekelőtt olyan sok mindent kínál, mint például gyakorlatokat és összefoglalókat, amik nekem személyesen NAGYON hasznosak voltak.
Anna
iOS felhasználó
A legjobb app a földön! Nincs szó rá, mert túl jó
Thomas R
iOS felhasználó
Egyszerűen elképesztő. 10x jobban tudok ismételni vele, ez az app egy egyértelmű 10/10. Mindenkinek ajánlom. Nézhetem és kereshetem a jegyzeteket. El tudom menteni őket tantárgy mappákba. Bármikor átismételhetem, amikor visszatérek. Ha még nem próbáltad ezt az appot, tényleg lemaradsz valamiről.
Basil
Android felhasználó
Ez az app sokkal magabiztosabbá tett a vizsgafelkészülésben, nem csak azáltal, hogy növelte az önbizalmam olyan funkciókkal, amik lehetővé teszik, hogy kapcsolódj másokhoz és kevésbé érezd magad egyedül, hanem azáltal is, ahogy maga az app arra épül, hogy jobban érezd magad. Könnyű navigálni, szórakoztató használni, és hasznos bárkinek, aki bármilyen területen küzd.
David K
iOS felhasználó
Az alkalmazás egyszerűen nagyszerű! Csak be kell írnom a témakört a keresősávba, és szuper gyorsan megkapom a választ. Nem kell megnéznem 10 YouTube videót, hogy megértsek valamit, így időt spórolok. Nagyon ajánlom!
Sudenaz Ocak
Android felhasználó
Az iskolában nagyon rossz voltam matekból, de az alkalmazásnak köszönhetően most jobban megy. Annyira hálás vagyok, hogy megcsináltátok az appot.
Greenlight Bonnie
Android felhasználó
nagyon megbízható app, ami segít fejleszteni a matekos, angolος és más kapcsolódó témákat a munkáidban. kérlek használd ezt az appot, ha nehézségeid vannak egyes területeken, ez az app kulcsfontosságú ehhez. bárcsak korábban írtam volna értékelést. és ingyenes is, szóval ne izgulj emiatt.
Rohan U
Android felhasználó
Tudom, hogy sok app hamis fiókokat használ az értékelések növelésére, de ez az app megérdemli az összeset. Eredetileg 4-est kaptam az angol vizsgáimon, és most 7-est kaptam. Három nappal a vizsga előttig nem is tudtam erről az appról, és NAGYON sokat segített. Kérlek tényleg bízz bennem és használd, mert biztos vagyok benne, hogy te is látni fogsz fejlődést.
Xander S
iOS felhasználó
A KVÍZEK ÉS TANULÓKÁRTYÁK ANNYIRA HASZNOSAK ÉS IMÁDOM A Knowunity MI-t. LITERÁLISAN OLYAN MINT A CHATGPT DE OKOSABB!! SEGÍTETT A SZEMPILLASPIRÁL PROBLÉMÁIMMAL IS!! VALAMINT A VALÓS TANTÁRGYAIMMAL IS! NYILVÁN 😍😁😲🤑💗✨🎀😮
Elisha
iOS felhasználó
Ez az app tényleg a legjobb. A tanulást olyan unalmasnak tartom, de ez az app annyira könnyűvé teszi az egész szervezését, aztán megkérheted az ingyenes MI-t, hogy teszteljen téged, annyira jó és könnyedén feltöltheted a saját anyagaidat. nagyon ajánlom mint aki most írom a gyakorló vizsgákat
Paul T
iOS felhasználó
Az alkalmazás nagyon könnyen használható és jól megtervezett. Mindent megtaláltam, amit eddig kerestem, és sokat tudtam tanulni a prezentációkból! Biztosan használni fogom az alkalmazást egy osztályfeladathoz! És persze inspirációként is nagyszerűen segít.
Stefan S
iOS felhasználó
Ez az alkalmazás tényleg nagyszerű. Olyan sok tanulási jegyzet és segítség van benne [...]. Például a francia a problémás tantárgyam, és az alkalmazásban olyan sok segítség lehetőség van. Ennek az alkalmazásnak köszönhetően javult a franciám. Mindenkinek ajánlanám.
Samantha Klich
Android felhasználó
Hű, tényleg lenyűgözött. Csak úgy kipróbáltam az alkalmazást, mert sokszor láttam reklámozva, és teljesen megdöbbentett. Ez az alkalmazás AZ A SEGÍTSÉG, amire az iskolában szükséged van, és mindenekelőtt olyan sok mindent kínál, mint például gyakorlatokat és összefoglalókat, amik nekem személyesen NAGYON hasznosak voltak.
Anna
iOS felhasználó
A legjobb app a földön! Nincs szó rá, mert túl jó
Thomas R
iOS felhasználó
Egyszerűen elképesztő. 10x jobban tudok ismételni vele, ez az app egy egyértelmű 10/10. Mindenkinek ajánlom. Nézhetem és kereshetem a jegyzeteket. El tudom menteni őket tantárgy mappákba. Bármikor átismételhetem, amikor visszatérek. Ha még nem próbáltad ezt az appot, tényleg lemaradsz valamiről.
Basil
Android felhasználó
Ez az app sokkal magabiztosabbá tett a vizsgafelkészülésben, nem csak azáltal, hogy növelte az önbizalmam olyan funkciókkal, amik lehetővé teszik, hogy kapcsolódj másokhoz és kevésbé érezd magad egyedül, hanem azáltal is, ahogy maga az app arra épül, hogy jobban érezd magad. Könnyű navigálni, szórakoztató használni, és hasznos bárkinek, aki bármilyen területen küzd.
David K
iOS felhasználó
Az alkalmazás egyszerűen nagyszerű! Csak be kell írnom a témakört a keresősávba, és szuper gyorsan megkapom a választ. Nem kell megnéznem 10 YouTube videót, hogy megértsek valamit, így időt spórolok. Nagyon ajánlom!
Sudenaz Ocak
Android felhasználó
Az iskolában nagyon rossz voltam matekból, de az alkalmazásnak köszönhetően most jobban megy. Annyira hálás vagyok, hogy megcsináltátok az appot.
Greenlight Bonnie
Android felhasználó
nagyon megbízható app, ami segít fejleszteni a matekos, angolος és más kapcsolódó témákat a munkáidban. kérlek használd ezt az appot, ha nehézségeid vannak egyes területeken, ez az app kulcsfontosságú ehhez. bárcsak korábban írtam volna értékelést. és ingyenes is, szóval ne izgulj emiatt.
Rohan U
Android felhasználó
Tudom, hogy sok app hamis fiókokat használ az értékelések növelésére, de ez az app megérdemli az összeset. Eredetileg 4-est kaptam az angol vizsgáimon, és most 7-est kaptam. Három nappal a vizsga előttig nem is tudtam erről az appról, és NAGYON sokat segített. Kérlek tényleg bízz bennem és használd, mert biztos vagyok benne, hogy te is látni fogsz fejlődést.
Xander S
iOS felhasználó
A KVÍZEK ÉS TANULÓKÁRTYÁK ANNYIRA HASZNOSAK ÉS IMÁDOM A Knowunity MI-t. LITERÁLISAN OLYAN MINT A CHATGPT DE OKOSABB!! SEGÍTETT A SZEMPILLASPIRÁL PROBLÉMÁIMMAL IS!! VALAMINT A VALÓS TANTÁRGYAIMMAL IS! NYILVÁN 😍😁😲🤑💗✨🎀😮
Elisha
iOS felhasználó
Ez az app tényleg a legjobb. A tanulást olyan unalmasnak tartom, de ez az app annyira könnyűvé teszi az egész szervezését, aztán megkérheted az ingyenes MI-t, hogy teszteljen téged, annyira jó és könnyedén feltöltheted a saját anyagaidat. nagyon ajánlom mint aki most írom a gyakorló vizsgákat
Paul T
iOS felhasználó
lorelai
@lorelai_6czzb
Ez a jegyzet az angol nyelvtan legfontosabb alapjait mutatja be kisérettségire készülve. Megtanulod a névmásokat, igeidőket és összetettebb nyelvtani szerkezeteket, amelyek elengedhetetlenek a sikeres vizsgához.

Hozzáférés minden dokumentumhoz
Javítsd a jegyeidet
Csatlakozz diákok millióihoz
A névmások használata az angol nyelv alapja. Az alanyi névmások mondatok elején állnak, míg a tárgyi névmások ige után helyezkednek el. A birtokos melléknevek főnevek előtt mutatják, hogy kié valami.
A "to be" ige minden mondattípusban fontos. Állító mondatban egyszerűen használod (I am, he is), tagadásban "not"-ot teszel hozzá, kérdésben pedig előre hozod az igét. A rövid válaszoknál csak az igét ismétled meg.
A "have got" birtoklást fejez ki. Ugyanúgy működik, mint a "to be" - kérdésben előre hozod, tagadásban "not"-ot teszel hozzá. Rövidíteni is lehet: I've got vagy I haven't got.
Fontos tudni: Az angol névmások következetes használata teszi természetessé a beszédet - gyakorold őket mondatokban!

Hozzáférés minden dokumentumhoz
Javítsd a jegyeidet
Csatlakozz diákok millióihoz
A melléknevek fokozása egyszerű szabályokat követ. Rövid mellékneveknél -er és -est végződést használsz (old → older → oldest). Hosszú mellékneveknél "more" és "most" szavakat teszed elé (dangerous → more dangerous → most dangerous).
A Present Simple szokásokat és általános igazságokat fejez ki. Egyes szám harmadik személyben "-s" végződést teszel az igéhez. A Present Continuous éppen történő eseményeket mutat - "be" ige + "-ing" végződés szükséges hozzá.
A Present Perfect olyan múltbeli eseményekre utal, amelyek hatása a jelenben érezhető. "Have/has + 3. alak" szerkezetet használod. A Present Perfect Continuous pedig azt hangsúlyozza, hogy egy cselekvés mennyi ideig tart - "have/has been + -ing" formát igényel.
Tipp: A Present Perfect-nél mindig gondolj arra, hogy a múltbeli esemény hogyan kapcsolódik a jelenhez!

Hozzáférés minden dokumentumhoz
Javítsd a jegyeidet
Csatlakozz diákok millióihoz
A Past Simple befejezett múltbeli eseményeket fejez ki. Szabályos igéknél "-ed" végződést használsz, rendhagyóknál pedig a 2. alakot kell tudnod. Minden személyben ugyanaz az alak, kérdésben és tagadásban "did" segédigét használod.
A Past Continuous folyamatban lévő múltbeli eseményeket mutat. "Was/were + -ing" szerkezetet alkalmazzuk. Gyakran használjuk, amikor egy folyamat megszakad - a megszakítást Past Simple-lel fejezzük ki.
A Past Perfect Simple olyan múltbeli eseményt jelöl, ami egy másik múltbeli esemény előtt történt. "Had + 3. alak" szerkezet szükséges. A Past Perfect Continuous pedig a folyamat hosszát hangsúlyozza a múltban - "had been + -ing" formával.
Emlékezz: A múlt idők sorrendje fontos - mindig tisztázd, hogy mi történt előbb!

Hozzáférés minden dokumentumhoz
Javítsd a jegyeidet
Csatlakozz diákok millióihoz
A Future Simple spontán döntéseket és jóslásokat fejez ki. "Will + főige" szerkezetet használsz minden személyben. A Future Continuous jövőbeli folyamatokat mutat , míg a Future Perfect jövőben befejezett eseményeket .
A "going to" szerkezet tervezett jövőbeli eseményeket és bizonyítékon alapuló jóslatokat fejez ki. "Be going to + főige" formát használod.
A feltételes mondatok három típusa különböző valószínűségeket fejez ki. A Type 1 valószínű jövőbeli eseményekre vonatkozik . A Type 2 képzeletbeli jelenbeli helyzeteket mutat . A Type 3 múltbeli lehetetlen helyzeteket fejez ki .
Gyakorlati tanács: A feltételes mondatokban mindig figyeld a vessző használatát, ha az "if" résszel kezded!

Hozzáférés minden dokumentumhoz
Javítsd a jegyeidet
Csatlakozz diákok millióihoz
A módbeli segédigék különböző jelentéseket fejeznek ki. A "can/may" lehetőséget mutat, a "must" erős kötelezettséget vagy biztos következtetést, a "should" tanácsot ad. Tagadásban ügyelj a jelentésváltozásra: "mustn't" tiltást, "don't have to" pedig a kötelezettség hiányát jelenti.
Az infinitívusz két formája különböző igék után áll. A teljes infinitívusz célok kifejezésére és bizonyos igék után használatos (want, decide, hope). A puszta infinitívusz (főige "to" nélkül) módbeli segédigék és néhány ige után áll (let, make).
Az -ing alak előnyt-nemtetszést kifejező igék után (like, enjoy, hate), prepozíciók után és bizonyos kifejezésekben (look forward to, can't help) használatos.
Fontos különbség: "Stop doing" = abbahagyni valamit, "stop to do" = megállni, hogy csinálj valamit!

Hozzáférés minden dokumentumhoz
Javítsd a jegyeidet
Csatlakozz diákok millióihoz
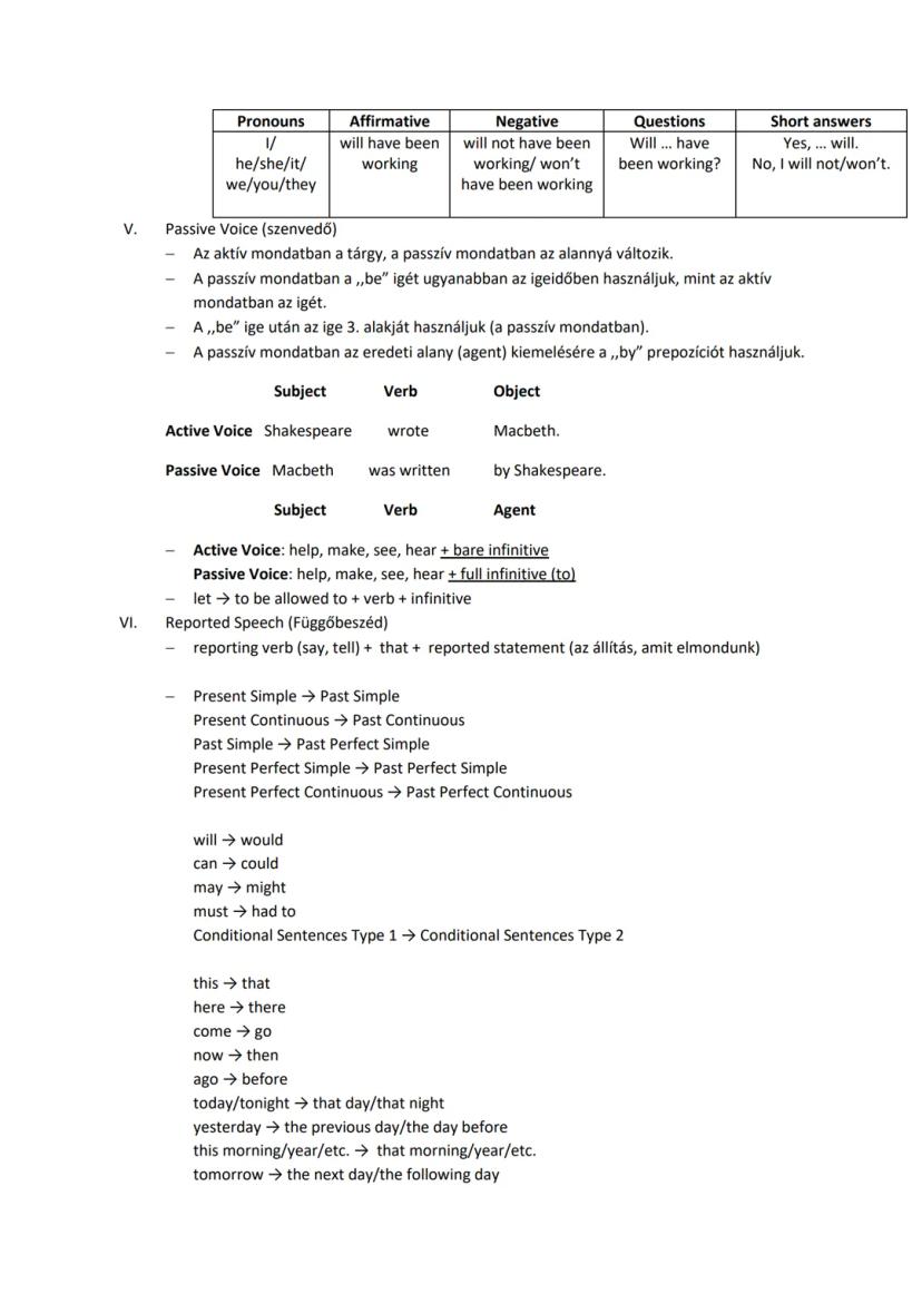
A szenvedő szerkezet (Passive Voice) akkor használatos, amikor a cselekvés fontosabb, mint az azt végző személy. Az aktív mondat tárgyából lesz a passzív mondat alanya. A szerkezet: "be" ige + 3. alak minden igeidőben.
A "should/ought to" tanácsadásra és vélemény kifejezésére szolgál. A "had better" erős tanácsot ad azonnali vagy közeljövőbeli cselekvésre. A "would rather" preferenciát fejez ki, gyakran "than" követi.
Ezek a nyelvtani szerkezetek alapvető fontosságúak a kisérettségin. A rendszeres gyakorlás és a szabályok tudatos alkalmazása vezet a sikerhez.
Végső tipp: Ne próbálj egyszerre mindent megtanulni - egy-egy témát alaposan dolgozz fel, majd térj át a következőre!

Hozzáférés minden dokumentumhoz
Javítsd a jegyeidet
Csatlakozz diákok millióihoz

Hozzáférés minden dokumentumhoz
Javítsd a jegyeidet
Csatlakozz diákok millióihoz

Hozzáférés minden dokumentumhoz
Javítsd a jegyeidet
Csatlakozz diákok millióihoz
MI Társunk egy diákközpontú MI eszköz, amely többet nyújt puszta válaszoknál. Millió Knowunity erőforrásra épülve releváns információkat, személyre szabott tanulási terveket, kvízeket és tartalmat biztosít közvetlenül a chatben, alkalmazkodva az egyéni tanulási utadhoz.
Az appot letöltheted a Google Play Store-ból és az Apple App Store-ból.
Pontosan! Élvezd az ingyenes hozzáférést a tanulási tartalmakhoz, kapcsolódj diáktársaiddal, és kapj azonnali segítséget – mind a kezed ügyében.
17
Intelligens Eszközök ÚJ
Alakítsd át ezeket a jegyzeteket: ✓ 50+ Gyakorló Feladat ✓ Interaktív Tanulókártyák ✓ Teljes próbavizsga ✓ Esszé Vázlatok
App Store
Google Play
Az alkalmazás nagyon könnyen használható és jól megtervezett. Mindent megtaláltam, amit eddig kerestem, és sokat tudtam tanulni a prezentációkból! Biztosan használni fogom az alkalmazást egy osztályfeladathoz! És persze inspirációként is nagyszerűen segít.
Stefan S
iOS felhasználó
Ez az alkalmazás tényleg nagyszerű. Olyan sok tanulási jegyzet és segítség van benne [...]. Például a francia a problémás tantárgyam, és az alkalmazásban olyan sok segítség lehetőség van. Ennek az alkalmazásnak köszönhetően javult a franciám. Mindenkinek ajánlanám.
Samantha Klich
Android felhasználó
Hű, tényleg lenyűgözött. Csak úgy kipróbáltam az alkalmazást, mert sokszor láttam reklámozva, és teljesen megdöbbentett. Ez az alkalmazás AZ A SEGÍTSÉG, amire az iskolában szükséged van, és mindenekelőtt olyan sok mindent kínál, mint például gyakorlatokat és összefoglalókat, amik nekem személyesen NAGYON hasznosak voltak.
Anna
iOS felhasználó
A legjobb app a földön! Nincs szó rá, mert túl jó
Thomas R
iOS felhasználó
Egyszerűen elképesztő. 10x jobban tudok ismételni vele, ez az app egy egyértelmű 10/10. Mindenkinek ajánlom. Nézhetem és kereshetem a jegyzeteket. El tudom menteni őket tantárgy mappákba. Bármikor átismételhetem, amikor visszatérek. Ha még nem próbáltad ezt az appot, tényleg lemaradsz valamiről.
Basil
Android felhasználó
Ez az app sokkal magabiztosabbá tett a vizsgafelkészülésben, nem csak azáltal, hogy növelte az önbizalmam olyan funkciókkal, amik lehetővé teszik, hogy kapcsolódj másokhoz és kevésbé érezd magad egyedül, hanem azáltal is, ahogy maga az app arra épül, hogy jobban érezd magad. Könnyű navigálni, szórakoztató használni, és hasznos bárkinek, aki bármilyen területen küzd.
David K
iOS felhasználó
Az alkalmazás egyszerűen nagyszerű! Csak be kell írnom a témakört a keresősávba, és szuper gyorsan megkapom a választ. Nem kell megnéznem 10 YouTube videót, hogy megértsek valamit, így időt spórolok. Nagyon ajánlom!
Sudenaz Ocak
Android felhasználó
Az iskolában nagyon rossz voltam matekból, de az alkalmazásnak köszönhetően most jobban megy. Annyira hálás vagyok, hogy megcsináltátok az appot.
Greenlight Bonnie
Android felhasználó
nagyon megbízható app, ami segít fejleszteni a matekos, angolος és más kapcsolódó témákat a munkáidban. kérlek használd ezt az appot, ha nehézségeid vannak egyes területeken, ez az app kulcsfontosságú ehhez. bárcsak korábban írtam volna értékelést. és ingyenes is, szóval ne izgulj emiatt.
Rohan U
Android felhasználó
Tudom, hogy sok app hamis fiókokat használ az értékelések növelésére, de ez az app megérdemli az összeset. Eredetileg 4-est kaptam az angol vizsgáimon, és most 7-est kaptam. Három nappal a vizsga előttig nem is tudtam erről az appról, és NAGYON sokat segített. Kérlek tényleg bízz bennem és használd, mert biztos vagyok benne, hogy te is látni fogsz fejlődést.
Xander S
iOS felhasználó
A KVÍZEK ÉS TANULÓKÁRTYÁK ANNYIRA HASZNOSAK ÉS IMÁDOM A Knowunity MI-t. LITERÁLISAN OLYAN MINT A CHATGPT DE OKOSABB!! SEGÍTETT A SZEMPILLASPIRÁL PROBLÉMÁIMMAL IS!! VALAMINT A VALÓS TANTÁRGYAIMMAL IS! NYILVÁN 😍😁😲🤑💗✨🎀😮
Elisha
iOS felhasználó
Ez az app tényleg a legjobb. A tanulást olyan unalmasnak tartom, de ez az app annyira könnyűvé teszi az egész szervezését, aztán megkérheted az ingyenes MI-t, hogy teszteljen téged, annyira jó és könnyedén feltöltheted a saját anyagaidat. nagyon ajánlom mint aki most írom a gyakorló vizsgákat
Paul T
iOS felhasználó
Az alkalmazás nagyon könnyen használható és jól megtervezett. Mindent megtaláltam, amit eddig kerestem, és sokat tudtam tanulni a prezentációkból! Biztosan használni fogom az alkalmazást egy osztályfeladathoz! És persze inspirációként is nagyszerűen segít.
Stefan S
iOS felhasználó
Ez az alkalmazás tényleg nagyszerű. Olyan sok tanulási jegyzet és segítség van benne [...]. Például a francia a problémás tantárgyam, és az alkalmazásban olyan sok segítség lehetőség van. Ennek az alkalmazásnak köszönhetően javult a franciám. Mindenkinek ajánlanám.
Samantha Klich
Android felhasználó
Hű, tényleg lenyűgözött. Csak úgy kipróbáltam az alkalmazást, mert sokszor láttam reklámozva, és teljesen megdöbbentett. Ez az alkalmazás AZ A SEGÍTSÉG, amire az iskolában szükséged van, és mindenekelőtt olyan sok mindent kínál, mint például gyakorlatokat és összefoglalókat, amik nekem személyesen NAGYON hasznosak voltak.
Anna
iOS felhasználó
A legjobb app a földön! Nincs szó rá, mert túl jó
Thomas R
iOS felhasználó
Egyszerűen elképesztő. 10x jobban tudok ismételni vele, ez az app egy egyértelmű 10/10. Mindenkinek ajánlom. Nézhetem és kereshetem a jegyzeteket. El tudom menteni őket tantárgy mappákba. Bármikor átismételhetem, amikor visszatérek. Ha még nem próbáltad ezt az appot, tényleg lemaradsz valamiről.
Basil
Android felhasználó
Ez az app sokkal magabiztosabbá tett a vizsgafelkészülésben, nem csak azáltal, hogy növelte az önbizalmam olyan funkciókkal, amik lehetővé teszik, hogy kapcsolódj másokhoz és kevésbé érezd magad egyedül, hanem azáltal is, ahogy maga az app arra épül, hogy jobban érezd magad. Könnyű navigálni, szórakoztató használni, és hasznos bárkinek, aki bármilyen területen küzd.
David K
iOS felhasználó
Az alkalmazás egyszerűen nagyszerű! Csak be kell írnom a témakört a keresősávba, és szuper gyorsan megkapom a választ. Nem kell megnéznem 10 YouTube videót, hogy megértsek valamit, így időt spórolok. Nagyon ajánlom!
Sudenaz Ocak
Android felhasználó
Az iskolában nagyon rossz voltam matekból, de az alkalmazásnak köszönhetően most jobban megy. Annyira hálás vagyok, hogy megcsináltátok az appot.
Greenlight Bonnie
Android felhasználó
nagyon megbízható app, ami segít fejleszteni a matekos, angolος és más kapcsolódó témákat a munkáidban. kérlek használd ezt az appot, ha nehézségeid vannak egyes területeken, ez az app kulcsfontosságú ehhez. bárcsak korábban írtam volna értékelést. és ingyenes is, szóval ne izgulj emiatt.
Rohan U
Android felhasználó
Tudom, hogy sok app hamis fiókokat használ az értékelések növelésére, de ez az app megérdemli az összeset. Eredetileg 4-est kaptam az angol vizsgáimon, és most 7-est kaptam. Három nappal a vizsga előttig nem is tudtam erről az appról, és NAGYON sokat segített. Kérlek tényleg bízz bennem és használd, mert biztos vagyok benne, hogy te is látni fogsz fejlődést.
Xander S
iOS felhasználó
A KVÍZEK ÉS TANULÓKÁRTYÁK ANNYIRA HASZNOSAK ÉS IMÁDOM A Knowunity MI-t. LITERÁLISAN OLYAN MINT A CHATGPT DE OKOSABB!! SEGÍTETT A SZEMPILLASPIRÁL PROBLÉMÁIMMAL IS!! VALAMINT A VALÓS TANTÁRGYAIMMAL IS! NYILVÁN 😍😁😲🤑💗✨🎀😮
Elisha
iOS felhasználó
Ez az app tényleg a legjobb. A tanulást olyan unalmasnak tartom, de ez az app annyira könnyűvé teszi az egész szervezését, aztán megkérheted az ingyenes MI-t, hogy teszteljen téged, annyira jó és könnyedén feltöltheted a saját anyagaidat. nagyon ajánlom mint aki most írom a gyakorló vizsgákat
Paul T
iOS felhasználó