Tantárgyak

Knowunity AI

Alkalmazás megnyitása

Tantárgyak

212

Frissítve 2026. márc. 2.

4 oldal

Magyar Irodalom Érettségi: Részletes Összefoglaló

user profile picture

Nagy Eszter

@nagyeszter

Ha novellaként kapsz egy szöveget az érettségin, ne izgulj! Minden... Továbbiak megjelenítése

Page 1
Page 2
Page 3
Page 4
1 / 4
Novella elemzés
Ady Endre (FONTOS): A Nyugat előtt és a Nyugattal együtt Ady jelentette a századfordulón a totális
lázadást irodalmunkban; á

Fontos magyar írók - gyors ismétlő

Itt vannak a legfontosabb írók, akikről tudnod kell az érettségin:

Ady Endre volt a totális lázadó költő a századfordulón. Nemcsak az irodalmat, hanem az egész magyar világot fel akarta forgatni. A Nyugat című folyóirattal együtt képviselte az új irányt, és annyira befolyásolta a fiatalokat, mint később József Attila.

Arany János a Toldi költője, aki Petőfi legjobb barátja volt. A szabadságharc bukása után melankóliás hangnemben írt romantikus verseket. Kezdetben szatirikus eposzokat alkotott, később inkább lírai műveket.

Babits Mihály Ady és Kosztolányi mellett az impresszionista-szimbolista irány nagy alakja volt. Költeményeivel és műfordításaival egyaránt jelentős műveket alkotott.

József Attila személyes sorsa és művészi teljesítménye teljesen összefügg egymással. Nyughatatlan szelleme és kétségbeesése még ma is erősen hat, ezért próbálják sokan a saját céljaikra felhasználni költészetét.

Fontos! Az elemzésnél mindig kapcsold össze az író életét és korát a mű témájával!

Novella elemzés
Ady Endre (FONTOS): A Nyugat előtt és a Nyugattal együtt Ady jelentette a századfordulón a totális
lázadást irodalmunkban; á

További kulcsírók

Karinthy Frigyes irodalmunk legnépszerűbb humoristája volt, pedig valójában filozófus volt. Regényeiben, novelláiban és humoreszkjeiben fejezte ki életfilozófiáját. Nagy költő volt, de csak két vékony verskötetet írt - cserébe rengeteg versparódiát alkotott.

Kosztolányi Dezső szimbolista és impresszionista költő és prózaíró. Különlegessége, hogy lírai érzékenységét rendkívül gondos stílussal párosította. Minden írása az ő különös egyéniségét tükrözi.

Mikszáth Kálmán pályakezdése nehéz volt, mert eredeti stílusa elütött a korszak szokásaitól. A szerkesztők sokszor kihúzták írásaiból a különleges részeket. 1874-ben jelent meg első műve.

Ezek az írók mind különböző stílusokat és témákat képviselnek, de egy dologban közösek: mindannyian az emberi lélek és a magyar társadalom mélységeit kutatták.

Megjegyzés: Ha ismered az írót, használd fel ezt tudást a bevezetésben - ha nem, akkor a műfajjal kezd!

Novella elemzés
Ady Endre (FONTOS): A Nyugat előtt és a Nyugattal együtt Ady jelentette a századfordulón a totális
lázadást irodalmunkban; á

A novellaelemzés alapjai

A novella kisepikai műfaj, ami rövid, kevés szereplőt vonultat fel, és egy konfliktusra épül. Általában egy helyszínen játszódik, gyakran csattanóra végződik.

Bevezetés írása: Ha ismered a szerzőt, helyezd el térben, időben és stílusban. Ha nem, akkor a címmel és a műfajjal kezd. Megemlítheted Boccacciót mint a műfaj nagy mesterét.

A tárgyalás részben ezekre figyelj:

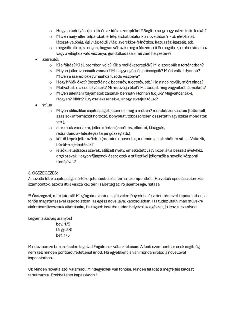
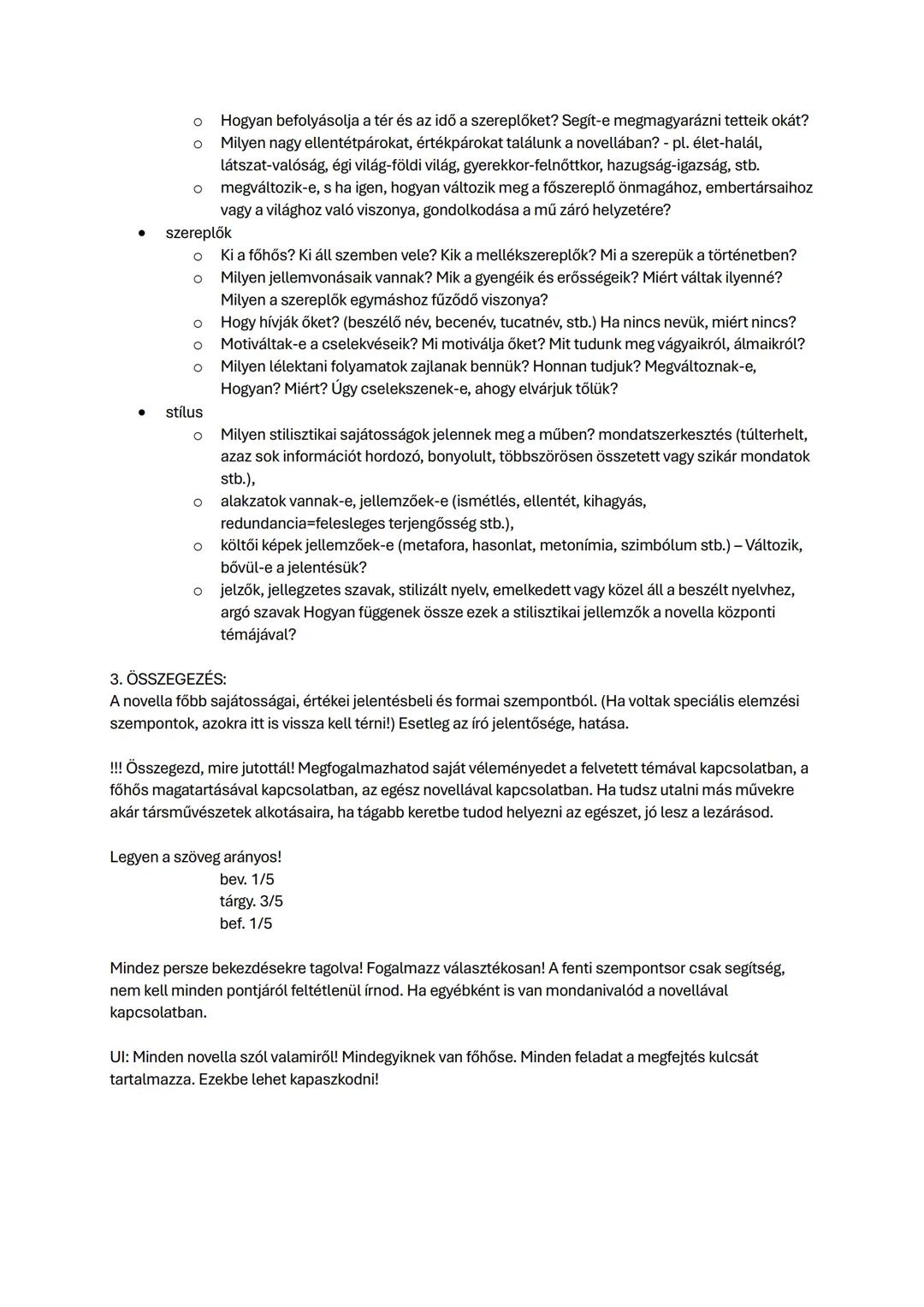
  • Mi a novella témája és cselekménye?
  • Mit ígér a cím, milyen asszociációkat ébreszt benned?
  • Mi a mű fő problematikája? Lehet életkép, jellemrajz, erkölcsi kérdés, vagy hangulat megragadása.

Az elbeszélő szerepe kulcsfontosságú: objektív vagy szubjektív, mindent tud vagy elhallgat dolgokat? Van-e reflexió, vagy rád hagyja a tanulságok levonását?

Hangnem szempontjából lehet ironikus, tragikus, elégikus, groteszk - ez sokat elárul a szerző szándékáról.

Tipp: Minden novellának van központi kérdése - ezt keresd meg elsőként!

Novella elemzés
Ady Endre (FONTOS): A Nyugat előtt és a Nyugattal együtt Ady jelentette a századfordulón a totális
lázadást irodalmunkban; á

Szerkezet, szereplők, stílus

Szerkezeti elemek: Mikor és hol játszódik a történet? Mennyi időt ölel fel? Az évszak és napszak gyakran metaforikus jelentéssel bír. Figyeld meg az időkezelést: lineáris-e, vagy van visszapillantás, ismétlés?

Szereplőelemzés: Ki a főhős, ki áll vele szemben? Milyen a nevük - beszélő név, becenév? Ha nincs nevük, annak is oka van. Motiváltak-e a cselekvéseik? Megváltoznak-e a történet során?

Stíluselemzés:

  • Milyen a mondatszerkesztés - bonyolult vagy szikár?
  • Vannak-e alakzatok (ismétlés, ellentét)?
  • Költői képek szerepelnek-e (metafora, szimbólum)?
  • A nyelv emelkedett vagy közel áll a beszélt nyelvhez?

Összegzés írása: Foglald össze a novella főbb értékeit jelentésbeli és formai szempontból. Megfogalmazhatod saját véleményedet is! Ha tudsz, utalhass más művekre.

Arányok: Bevezetés 1/5, tárgyalás 3/5, befejezés 1/5. Minden bekezdésekre tagolva!

Emlékezz: Minden novella szól valamiről, mindegyiknek van főhőse, és minden feladat tartalmazza a megfejtés kulcsát!



Azt hittük, soha nem fogod megkérdezni...

Mi a Knowunity MI társ?

MI Társunk egy diákközpontú MI eszköz, amely többet nyújt puszta válaszoknál. Millió Knowunity erőforrásra épülve releváns információkat, személyre szabott tanulási terveket, kvízeket és tartalmat biztosít közvetlenül a chatben, alkalmazkodva az egyéni tanulási utadhoz.

Honnan tudom letölteni a Knowunity appot?

Az appot letöltheted a Google Play Store-ból és az Apple App Store-ból.

Tényleg ingyenes a Knowunity?

Pontosan! Élvezd az ingyenes hozzáférést a tanulási tartalmakhoz, kapcsolódj diáktársaiddal, és kapj azonnali segítséget – mind a kezed ügyében.

Nem találod amit keresel? Fedezz fel más tantárgyakat.

A diákok imádnak minket — és téged is fognak.

4.6/5

App Store

4.7/5

Google Play

Az alkalmazás nagyon könnyen használható és jól megtervezett. Mindent megtaláltam, amit eddig kerestem, és sokat tudtam tanulni a prezentációkból! Biztosan használni fogom az alkalmazást egy osztályfeladathoz! És persze inspirációként is nagyszerűen segít.

Stefan S

iOS felhasználó

Ez az alkalmazás tényleg nagyszerű. Olyan sok tanulási jegyzet és segítség van benne [...]. Például a francia a problémás tantárgyam, és az alkalmazásban olyan sok segítség lehetőség van. Ennek az alkalmazásnak köszönhetően javult a franciám. Mindenkinek ajánlanám.

Samantha Klich

Android felhasználó

Hű, tényleg lenyűgözött. Csak úgy kipróbáltam az alkalmazást, mert sokszor láttam reklámozva, és teljesen megdöbbentett. Ez az alkalmazás AZ A SEGÍTSÉG, amire az iskolában szükséged van, és mindenekelőtt olyan sok mindent kínál, mint például gyakorlatokat és összefoglalókat, amik nekem személyesen NAGYON hasznosak voltak.

Anna

iOS felhasználó

A legjobb app a földön! Nincs szó rá, mert túl jó

Thomas R

iOS felhasználó

Egyszerűen elképesztő. 10x jobban tudok ismételni vele, ez az app egy egyértelmű 10/10. Mindenkinek ajánlom. Nézhetem és kereshetem a jegyzeteket. El tudom menteni őket tantárgy mappákba. Bármikor átismételhetem, amikor visszatérek. Ha még nem próbáltad ezt az appot, tényleg lemaradsz valamiről.

Basil

Android felhasználó

Ez az app sokkal magabiztosabbá tett a vizsgafelkészülésben, nem csak azáltal, hogy növelte az önbizalmam olyan funkciókkal, amik lehetővé teszik, hogy kapcsolódj másokhoz és kevésbé érezd magad egyedül, hanem azáltal is, ahogy maga az app arra épül, hogy jobban érezd magad. Könnyű navigálni, szórakoztató használni, és hasznos bárkinek, aki bármilyen területen küzd.

David K

iOS felhasználó

Az alkalmazás egyszerűen nagyszerű! Csak be kell írnom a témakört a keresősávba, és szuper gyorsan megkapom a választ. Nem kell megnéznem 10 YouTube videót, hogy megértsek valamit, így időt spórolok. Nagyon ajánlom!

Sudenaz Ocak

Android felhasználó

Az iskolában nagyon rossz voltam matekból, de az alkalmazásnak köszönhetően most jobban megy. Annyira hálás vagyok, hogy megcsináltátok az appot.

Greenlight Bonnie

Android felhasználó

nagyon megbízható app, ami segít fejleszteni a matekos, angolος és más kapcsolódó témákat a munkáidban. kérlek használd ezt az appot, ha nehézségeid vannak egyes területeken, ez az app kulcsfontosságú ehhez. bárcsak korábban írtam volna értékelést. és ingyenes is, szóval ne izgulj emiatt.

Rohan U

Android felhasználó

Tudom, hogy sok app hamis fiókokat használ az értékelések növelésére, de ez az app megérdemli az összeset. Eredetileg 4-est kaptam az angol vizsgáimon, és most 7-est kaptam. Három nappal a vizsga előttig nem is tudtam erről az appról, és NAGYON sokat segített. Kérlek tényleg bízz bennem és használd, mert biztos vagyok benne, hogy te is látni fogsz fejlődést.

Xander S

iOS felhasználó

A KVÍZEK ÉS TANULÓKÁRTYÁK ANNYIRA HASZNOSAK ÉS IMÁDOM A Knowunity MI-t. LITERÁLISAN OLYAN MINT A CHATGPT DE OKOSABB!! SEGÍTETT A SZEMPILLASPIRÁL PROBLÉMÁIMMAL IS!! VALAMINT A VALÓS TANTÁRGYAIMMAL IS! NYILVÁN 😍😁😲🤑💗✨🎀😮

Elisha

iOS felhasználó

Ez az app tényleg a legjobb. A tanulást olyan unalmasnak tartom, de ez az app annyira könnyűvé teszi az egész szervezését, aztán megkérheted az ingyenes MI-t, hogy teszteljen téged, annyira jó és könnyedén feltöltheted a saját anyagaidat. nagyon ajánlom mint aki most írom a gyakorló vizsgákat

Paul T

iOS felhasználó

Az alkalmazás nagyon könnyen használható és jól megtervezett. Mindent megtaláltam, amit eddig kerestem, és sokat tudtam tanulni a prezentációkból! Biztosan használni fogom az alkalmazást egy osztályfeladathoz! És persze inspirációként is nagyszerűen segít.

Stefan S

iOS felhasználó

Ez az alkalmazás tényleg nagyszerű. Olyan sok tanulási jegyzet és segítség van benne [...]. Például a francia a problémás tantárgyam, és az alkalmazásban olyan sok segítség lehetőség van. Ennek az alkalmazásnak köszönhetően javult a franciám. Mindenkinek ajánlanám.

Samantha Klich

Android felhasználó

Hű, tényleg lenyűgözött. Csak úgy kipróbáltam az alkalmazást, mert sokszor láttam reklámozva, és teljesen megdöbbentett. Ez az alkalmazás AZ A SEGÍTSÉG, amire az iskolában szükséged van, és mindenekelőtt olyan sok mindent kínál, mint például gyakorlatokat és összefoglalókat, amik nekem személyesen NAGYON hasznosak voltak.

Anna

iOS felhasználó

A legjobb app a földön! Nincs szó rá, mert túl jó

Thomas R

iOS felhasználó

Egyszerűen elképesztő. 10x jobban tudok ismételni vele, ez az app egy egyértelmű 10/10. Mindenkinek ajánlom. Nézhetem és kereshetem a jegyzeteket. El tudom menteni őket tantárgy mappákba. Bármikor átismételhetem, amikor visszatérek. Ha még nem próbáltad ezt az appot, tényleg lemaradsz valamiről.

Basil

Android felhasználó

Ez az app sokkal magabiztosabbá tett a vizsgafelkészülésben, nem csak azáltal, hogy növelte az önbizalmam olyan funkciókkal, amik lehetővé teszik, hogy kapcsolódj másokhoz és kevésbé érezd magad egyedül, hanem azáltal is, ahogy maga az app arra épül, hogy jobban érezd magad. Könnyű navigálni, szórakoztató használni, és hasznos bárkinek, aki bármilyen területen küzd.

David K

iOS felhasználó

Az alkalmazás egyszerűen nagyszerű! Csak be kell írnom a témakört a keresősávba, és szuper gyorsan megkapom a választ. Nem kell megnéznem 10 YouTube videót, hogy megértsek valamit, így időt spórolok. Nagyon ajánlom!

Sudenaz Ocak

Android felhasználó

Az iskolában nagyon rossz voltam matekból, de az alkalmazásnak köszönhetően most jobban megy. Annyira hálás vagyok, hogy megcsináltátok az appot.

Greenlight Bonnie

Android felhasználó

nagyon megbízható app, ami segít fejleszteni a matekos, angolος és más kapcsolódó témákat a munkáidban. kérlek használd ezt az appot, ha nehézségeid vannak egyes területeken, ez az app kulcsfontosságú ehhez. bárcsak korábban írtam volna értékelést. és ingyenes is, szóval ne izgulj emiatt.

Rohan U

Android felhasználó

Tudom, hogy sok app hamis fiókokat használ az értékelések növelésére, de ez az app megérdemli az összeset. Eredetileg 4-est kaptam az angol vizsgáimon, és most 7-est kaptam. Három nappal a vizsga előttig nem is tudtam erről az appról, és NAGYON sokat segített. Kérlek tényleg bízz bennem és használd, mert biztos vagyok benne, hogy te is látni fogsz fejlődést.

Xander S

iOS felhasználó

A KVÍZEK ÉS TANULÓKÁRTYÁK ANNYIRA HASZNOSAK ÉS IMÁDOM A Knowunity MI-t. LITERÁLISAN OLYAN MINT A CHATGPT DE OKOSABB!! SEGÍTETT A SZEMPILLASPIRÁL PROBLÉMÁIMMAL IS!! VALAMINT A VALÓS TANTÁRGYAIMMAL IS! NYILVÁN 😍😁😲🤑💗✨🎀😮

Elisha

iOS felhasználó

Ez az app tényleg a legjobb. A tanulást olyan unalmasnak tartom, de ez az app annyira könnyűvé teszi az egész szervezését, aztán megkérheted az ingyenes MI-t, hogy teszteljen téged, annyira jó és könnyedén feltöltheted a saját anyagaidat. nagyon ajánlom mint aki most írom a gyakorló vizsgákat

Paul T

iOS felhasználó

 

Magyar

212

Frissítve 2026. márc. 2.

4 oldal

Magyar Irodalom Érettségi: Részletes Összefoglaló

user profile picture

Nagy Eszter

@nagyeszter

Ha novellaként kapsz egy szöveget az érettségin, ne izgulj! Minden novella egy egyszerű séma szerint működik: van egy főhős, egy probléma, és egy üzenet. Ez a jegyzet megmutatja, hogyan bonts fel bármilyen novellát úgy, hogy megtaláld a lényeget és jó... Továbbiak megjelenítése

Novella elemzés
Ady Endre (FONTOS): A Nyugat előtt és a Nyugattal együtt Ady jelentette a századfordulón a totális
lázadást irodalmunkban; á

Regisztrálj, hogy lásd a tartalmatTeljesen ingyenes!

Hozzáférés minden dokumentumhoz

Javítsd a jegyeidet

Csatlakozz diákok millióihoz

A regisztrációval elfogadod a Felhasználási Feltételeket és az Adatvédelmi Szabályzatot

Fontos magyar írók - gyors ismétlő

Itt vannak a legfontosabb írók, akikről tudnod kell az érettségin:

Ady Endre volt a totális lázadó költő a századfordulón. Nemcsak az irodalmat, hanem az egész magyar világot fel akarta forgatni. A Nyugat című folyóirattal együtt képviselte az új irányt, és annyira befolyásolta a fiatalokat, mint később József Attila.

Arany János a Toldi költője, aki Petőfi legjobb barátja volt. A szabadságharc bukása után melankóliás hangnemben írt romantikus verseket. Kezdetben szatirikus eposzokat alkotott, később inkább lírai műveket.

Babits Mihály Ady és Kosztolányi mellett az impresszionista-szimbolista irány nagy alakja volt. Költeményeivel és műfordításaival egyaránt jelentős műveket alkotott.

József Attila személyes sorsa és művészi teljesítménye teljesen összefügg egymással. Nyughatatlan szelleme és kétségbeesése még ma is erősen hat, ezért próbálják sokan a saját céljaikra felhasználni költészetét.

Fontos! Az elemzésnél mindig kapcsold össze az író életét és korát a mű témájával!

Novella elemzés
Ady Endre (FONTOS): A Nyugat előtt és a Nyugattal együtt Ady jelentette a századfordulón a totális
lázadást irodalmunkban; á

Regisztrálj, hogy lásd a tartalmatTeljesen ingyenes!

Hozzáférés minden dokumentumhoz

Javítsd a jegyeidet

Csatlakozz diákok millióihoz

A regisztrációval elfogadod a Felhasználási Feltételeket és az Adatvédelmi Szabályzatot

További kulcsírók

Karinthy Frigyes irodalmunk legnépszerűbb humoristája volt, pedig valójában filozófus volt. Regényeiben, novelláiban és humoreszkjeiben fejezte ki életfilozófiáját. Nagy költő volt, de csak két vékony verskötetet írt - cserébe rengeteg versparódiát alkotott.

Kosztolányi Dezső szimbolista és impresszionista költő és prózaíró. Különlegessége, hogy lírai érzékenységét rendkívül gondos stílussal párosította. Minden írása az ő különös egyéniségét tükrözi.

Mikszáth Kálmán pályakezdése nehéz volt, mert eredeti stílusa elütött a korszak szokásaitól. A szerkesztők sokszor kihúzták írásaiból a különleges részeket. 1874-ben jelent meg első műve.

Ezek az írók mind különböző stílusokat és témákat képviselnek, de egy dologban közösek: mindannyian az emberi lélek és a magyar társadalom mélységeit kutatták.

Megjegyzés: Ha ismered az írót, használd fel ezt tudást a bevezetésben - ha nem, akkor a műfajjal kezd!

Novella elemzés
Ady Endre (FONTOS): A Nyugat előtt és a Nyugattal együtt Ady jelentette a századfordulón a totális
lázadást irodalmunkban; á

Regisztrálj, hogy lásd a tartalmatTeljesen ingyenes!

Hozzáférés minden dokumentumhoz

Javítsd a jegyeidet

Csatlakozz diákok millióihoz

A regisztrációval elfogadod a Felhasználási Feltételeket és az Adatvédelmi Szabályzatot

A novellaelemzés alapjai

A novella kisepikai műfaj, ami rövid, kevés szereplőt vonultat fel, és egy konfliktusra épül. Általában egy helyszínen játszódik, gyakran csattanóra végződik.

Bevezetés írása: Ha ismered a szerzőt, helyezd el térben, időben és stílusban. Ha nem, akkor a címmel és a műfajjal kezd. Megemlítheted Boccacciót mint a műfaj nagy mesterét.

A tárgyalás részben ezekre figyelj:

  • Mi a novella témája és cselekménye?
  • Mit ígér a cím, milyen asszociációkat ébreszt benned?
  • Mi a mű fő problematikája? Lehet életkép, jellemrajz, erkölcsi kérdés, vagy hangulat megragadása.

Az elbeszélő szerepe kulcsfontosságú: objektív vagy szubjektív, mindent tud vagy elhallgat dolgokat? Van-e reflexió, vagy rád hagyja a tanulságok levonását?

Hangnem szempontjából lehet ironikus, tragikus, elégikus, groteszk - ez sokat elárul a szerző szándékáról.

Tipp: Minden novellának van központi kérdése - ezt keresd meg elsőként!

Novella elemzés
Ady Endre (FONTOS): A Nyugat előtt és a Nyugattal együtt Ady jelentette a századfordulón a totális
lázadást irodalmunkban; á

Regisztrálj, hogy lásd a tartalmatTeljesen ingyenes!

Hozzáférés minden dokumentumhoz

Javítsd a jegyeidet

Csatlakozz diákok millióihoz

A regisztrációval elfogadod a Felhasználási Feltételeket és az Adatvédelmi Szabályzatot

Szerkezet, szereplők, stílus

Szerkezeti elemek: Mikor és hol játszódik a történet? Mennyi időt ölel fel? Az évszak és napszak gyakran metaforikus jelentéssel bír. Figyeld meg az időkezelést: lineáris-e, vagy van visszapillantás, ismétlés?

Szereplőelemzés: Ki a főhős, ki áll vele szemben? Milyen a nevük - beszélő név, becenév? Ha nincs nevük, annak is oka van. Motiváltak-e a cselekvéseik? Megváltoznak-e a történet során?

Stíluselemzés:

  • Milyen a mondatszerkesztés - bonyolult vagy szikár?
  • Vannak-e alakzatok (ismétlés, ellentét)?
  • Költői képek szerepelnek-e (metafora, szimbólum)?
  • A nyelv emelkedett vagy közel áll a beszélt nyelvhez?

Összegzés írása: Foglald össze a novella főbb értékeit jelentésbeli és formai szempontból. Megfogalmazhatod saját véleményedet is! Ha tudsz, utalhass más művekre.

Arányok: Bevezetés 1/5, tárgyalás 3/5, befejezés 1/5. Minden bekezdésekre tagolva!

Emlékezz: Minden novella szól valamiről, mindegyiknek van főhőse, és minden feladat tartalmazza a megfejtés kulcsát!

Azt hittük, soha nem fogod megkérdezni...

Mi a Knowunity MI társ?

MI Társunk egy diákközpontú MI eszköz, amely többet nyújt puszta válaszoknál. Millió Knowunity erőforrásra épülve releváns információkat, személyre szabott tanulási terveket, kvízeket és tartalmat biztosít közvetlenül a chatben, alkalmazkodva az egyéni tanulási utadhoz.

Honnan tudom letölteni a Knowunity appot?

Az appot letöltheted a Google Play Store-ból és az Apple App Store-ból.

Tényleg ingyenes a Knowunity?

Pontosan! Élvezd az ingyenes hozzáférést a tanulási tartalmakhoz, kapcsolódj diáktársaiddal, és kapj azonnali segítséget – mind a kezed ügyében.

4

Intelligens Eszközök ÚJ

Alakítsd át ezeket a jegyzeteket: ✓ 50+ Gyakorló Feladat ✓ Interaktív Tanulókártyák ✓ Teljes próbavizsga ✓ Esszé Vázlatok

Próbavizsga
Kvíz
Tanulókártyák
Esszé

Nem találod amit keresel? Fedezz fel más tantárgyakat.

A diákok imádnak minket — és téged is fognak.

4.6/5

App Store

4.7/5

Google Play

Az alkalmazás nagyon könnyen használható és jól megtervezett. Mindent megtaláltam, amit eddig kerestem, és sokat tudtam tanulni a prezentációkból! Biztosan használni fogom az alkalmazást egy osztályfeladathoz! És persze inspirációként is nagyszerűen segít.

Stefan S

iOS felhasználó

Ez az alkalmazás tényleg nagyszerű. Olyan sok tanulási jegyzet és segítség van benne [...]. Például a francia a problémás tantárgyam, és az alkalmazásban olyan sok segítség lehetőség van. Ennek az alkalmazásnak köszönhetően javult a franciám. Mindenkinek ajánlanám.

Samantha Klich

Android felhasználó

Hű, tényleg lenyűgözött. Csak úgy kipróbáltam az alkalmazást, mert sokszor láttam reklámozva, és teljesen megdöbbentett. Ez az alkalmazás AZ A SEGÍTSÉG, amire az iskolában szükséged van, és mindenekelőtt olyan sok mindent kínál, mint például gyakorlatokat és összefoglalókat, amik nekem személyesen NAGYON hasznosak voltak.

Anna

iOS felhasználó

A legjobb app a földön! Nincs szó rá, mert túl jó

Thomas R

iOS felhasználó

Egyszerűen elképesztő. 10x jobban tudok ismételni vele, ez az app egy egyértelmű 10/10. Mindenkinek ajánlom. Nézhetem és kereshetem a jegyzeteket. El tudom menteni őket tantárgy mappákba. Bármikor átismételhetem, amikor visszatérek. Ha még nem próbáltad ezt az appot, tényleg lemaradsz valamiről.

Basil

Android felhasználó

Ez az app sokkal magabiztosabbá tett a vizsgafelkészülésben, nem csak azáltal, hogy növelte az önbizalmam olyan funkciókkal, amik lehetővé teszik, hogy kapcsolódj másokhoz és kevésbé érezd magad egyedül, hanem azáltal is, ahogy maga az app arra épül, hogy jobban érezd magad. Könnyű navigálni, szórakoztató használni, és hasznos bárkinek, aki bármilyen területen küzd.

David K

iOS felhasználó

Az alkalmazás egyszerűen nagyszerű! Csak be kell írnom a témakört a keresősávba, és szuper gyorsan megkapom a választ. Nem kell megnéznem 10 YouTube videót, hogy megértsek valamit, így időt spórolok. Nagyon ajánlom!

Sudenaz Ocak

Android felhasználó

Az iskolában nagyon rossz voltam matekból, de az alkalmazásnak köszönhetően most jobban megy. Annyira hálás vagyok, hogy megcsináltátok az appot.

Greenlight Bonnie

Android felhasználó

nagyon megbízható app, ami segít fejleszteni a matekos, angolος és más kapcsolódó témákat a munkáidban. kérlek használd ezt az appot, ha nehézségeid vannak egyes területeken, ez az app kulcsfontosságú ehhez. bárcsak korábban írtam volna értékelést. és ingyenes is, szóval ne izgulj emiatt.

Rohan U

Android felhasználó

Tudom, hogy sok app hamis fiókokat használ az értékelések növelésére, de ez az app megérdemli az összeset. Eredetileg 4-est kaptam az angol vizsgáimon, és most 7-est kaptam. Három nappal a vizsga előttig nem is tudtam erről az appról, és NAGYON sokat segített. Kérlek tényleg bízz bennem és használd, mert biztos vagyok benne, hogy te is látni fogsz fejlődést.

Xander S

iOS felhasználó

A KVÍZEK ÉS TANULÓKÁRTYÁK ANNYIRA HASZNOSAK ÉS IMÁDOM A Knowunity MI-t. LITERÁLISAN OLYAN MINT A CHATGPT DE OKOSABB!! SEGÍTETT A SZEMPILLASPIRÁL PROBLÉMÁIMMAL IS!! VALAMINT A VALÓS TANTÁRGYAIMMAL IS! NYILVÁN 😍😁😲🤑💗✨🎀😮

Elisha

iOS felhasználó

Ez az app tényleg a legjobb. A tanulást olyan unalmasnak tartom, de ez az app annyira könnyűvé teszi az egész szervezését, aztán megkérheted az ingyenes MI-t, hogy teszteljen téged, annyira jó és könnyedén feltöltheted a saját anyagaidat. nagyon ajánlom mint aki most írom a gyakorló vizsgákat

Paul T

iOS felhasználó

Az alkalmazás nagyon könnyen használható és jól megtervezett. Mindent megtaláltam, amit eddig kerestem, és sokat tudtam tanulni a prezentációkból! Biztosan használni fogom az alkalmazást egy osztályfeladathoz! És persze inspirációként is nagyszerűen segít.

Stefan S

iOS felhasználó

Ez az alkalmazás tényleg nagyszerű. Olyan sok tanulási jegyzet és segítség van benne [...]. Például a francia a problémás tantárgyam, és az alkalmazásban olyan sok segítség lehetőség van. Ennek az alkalmazásnak köszönhetően javult a franciám. Mindenkinek ajánlanám.

Samantha Klich

Android felhasználó

Hű, tényleg lenyűgözött. Csak úgy kipróbáltam az alkalmazást, mert sokszor láttam reklámozva, és teljesen megdöbbentett. Ez az alkalmazás AZ A SEGÍTSÉG, amire az iskolában szükséged van, és mindenekelőtt olyan sok mindent kínál, mint például gyakorlatokat és összefoglalókat, amik nekem személyesen NAGYON hasznosak voltak.

Anna

iOS felhasználó

A legjobb app a földön! Nincs szó rá, mert túl jó

Thomas R

iOS felhasználó

Egyszerűen elképesztő. 10x jobban tudok ismételni vele, ez az app egy egyértelmű 10/10. Mindenkinek ajánlom. Nézhetem és kereshetem a jegyzeteket. El tudom menteni őket tantárgy mappákba. Bármikor átismételhetem, amikor visszatérek. Ha még nem próbáltad ezt az appot, tényleg lemaradsz valamiről.

Basil

Android felhasználó

Ez az app sokkal magabiztosabbá tett a vizsgafelkészülésben, nem csak azáltal, hogy növelte az önbizalmam olyan funkciókkal, amik lehetővé teszik, hogy kapcsolódj másokhoz és kevésbé érezd magad egyedül, hanem azáltal is, ahogy maga az app arra épül, hogy jobban érezd magad. Könnyű navigálni, szórakoztató használni, és hasznos bárkinek, aki bármilyen területen küzd.

David K

iOS felhasználó

Az alkalmazás egyszerűen nagyszerű! Csak be kell írnom a témakört a keresősávba, és szuper gyorsan megkapom a választ. Nem kell megnéznem 10 YouTube videót, hogy megértsek valamit, így időt spórolok. Nagyon ajánlom!

Sudenaz Ocak

Android felhasználó

Az iskolában nagyon rossz voltam matekból, de az alkalmazásnak köszönhetően most jobban megy. Annyira hálás vagyok, hogy megcsináltátok az appot.

Greenlight Bonnie

Android felhasználó

nagyon megbízható app, ami segít fejleszteni a matekos, angolος és más kapcsolódó témákat a munkáidban. kérlek használd ezt az appot, ha nehézségeid vannak egyes területeken, ez az app kulcsfontosságú ehhez. bárcsak korábban írtam volna értékelést. és ingyenes is, szóval ne izgulj emiatt.

Rohan U

Android felhasználó

Tudom, hogy sok app hamis fiókokat használ az értékelések növelésére, de ez az app megérdemli az összeset. Eredetileg 4-est kaptam az angol vizsgáimon, és most 7-est kaptam. Három nappal a vizsga előttig nem is tudtam erről az appról, és NAGYON sokat segített. Kérlek tényleg bízz bennem és használd, mert biztos vagyok benne, hogy te is látni fogsz fejlődést.

Xander S

iOS felhasználó

A KVÍZEK ÉS TANULÓKÁRTYÁK ANNYIRA HASZNOSAK ÉS IMÁDOM A Knowunity MI-t. LITERÁLISAN OLYAN MINT A CHATGPT DE OKOSABB!! SEGÍTETT A SZEMPILLASPIRÁL PROBLÉMÁIMMAL IS!! VALAMINT A VALÓS TANTÁRGYAIMMAL IS! NYILVÁN 😍😁😲🤑💗✨🎀😮

Elisha

iOS felhasználó

Ez az app tényleg a legjobb. A tanulást olyan unalmasnak tartom, de ez az app annyira könnyűvé teszi az egész szervezését, aztán megkérheted az ingyenes MI-t, hogy teszteljen téged, annyira jó és könnyedén feltöltheted a saját anyagaidat. nagyon ajánlom mint aki most írom a gyakorló vizsgákat

Paul T

iOS felhasználó